 
                                        北京市科学技术研究院(以下简称“市科研院”)是北京市人民政府直属的综合性科研机构,地处北京中关村科学城,位于中关村国家自主创新示范区的核心区。落实创新驱动发展战略,全面深度融入北京国际科技创新中心建设,服务新时代首都发展,肩负重大的职责使命。
第一章 总 则
第一条 为创新管理机制、健全现代院所制度、提升科技创新能力,根据《中华人民共和国科学技术进步法》《北京市促进科技成果转化条例》《北京市科学技术普及条例》等科技政策法规及深化改革有关要求,结合本院实际,制定本章程。
第二条 北京市科学技术研究院是北京市人民政府直属综合性科研机构,成立于1984年,简称市科研院,英文名称为Beijing Academy of Science and Technology(英文缩写BJAST)。市科研院开办资金5000万元,出资人为北京市人民政府。住所为北京市海淀区西三环北路27号,登记机关为北京市事业单位登记管理局。院长为拟任法定代表人的人选,经事业单位登记管理机关依法核准后生效。
 
                                        《科技智囊》杂志秉持“智囊为魂,科技为体,业界为用,管者必读”的办刊方针,是北京市科学技术研究院主管、主办的新型高端智库期刊。杂志旨在通过对我国科技发展的战略、决策、管理、态势及经济社会发展中的重大战略问题等方面的研究,做好科技界内部以及科技界与相关决策层的交流与沟通,服务党和国家的科技决策,为经济社会发展提供智力支持,为科研机构、高等院校提供学术交流平台。
发布时间:2025年10月31日 16:26
图1.磁过滤阴极真空弧沉积技术平台
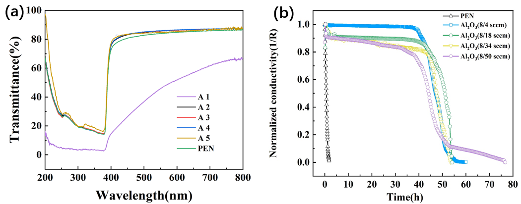
图2.(a)不同O₂气流量下制备的Al₂O₃薄膜的透光度,(b)不同O₂气流量下制备的Al₂O₃薄膜以及PEN薄膜封装下的Mg膜电导衰退曲线
柔性显示技术是推动电子信息产业迈向轻量化、柔性化发展的关键方向,也是北京市布局新一代显示技术的重点领域之一。近日,北京市科学技术研究院辐射技术研究所金小越研究团队依托财政资金创新工程项目,围绕柔性显示封装中的关键技术难题,成功开发了基于磁过滤阴极真空弧沉积(FCVA)技术的低温低内应力柔性高质量封装薄膜制备工艺。
封装技术是柔性有机发光二极管(OLED)器件研究的核心环节,直接影响器件的寿命、稳定性和柔性性能。在“十三五”期间,我国新型显示产业规模已跃居全球第一,但上游关键材料和装备仍严重依赖进口,OLED产业技术成为“卡脖子”环节之一。特别是柔性显示中常用的封装薄膜,其在低温制备、内应力控制、致密性等方面的性能要求极高,传统工艺难以兼顾多项性能指标。
金小越团队基于FCVA技术,系统研究了薄膜沉积参数对金属氧化物薄膜结构与性能的影响规律,突破了低温条件下制备高致密、超低应力封装薄膜的工艺难题。完成了柔性金属氧化物封装工艺的设计及验证,提出基于离子束损伤控制技术的有机发光层保护新方法,实现了对载能离子沉积过程的精准控制,有效降低了对有机发光层的损伤,显著提升了柔性OLED器件的可靠性与发光性能。
项目团队成功制备出综合性能优异的单层超薄封装薄膜,在多项关键技术指标上表现突出。Al₂O₃薄膜(100 nm)的水蒸气透过率低至6.6×10⁻⁶g/m²/day,透光率大于93%。截至目前,团队已申请发明专利6项、实用新型专利1项,发表SCI论文1篇,形成了一套具有自主知识产权的柔性显示封装工艺方案。
该成果目前已通过第三方检测,部分核心参数达到应用要求。下一步,团队将进一步完善薄膜均匀性、发光量子产率等关键指标的检测数据,并加强与京东方科技集团等行业龙头企业的合作对接,推动技术的中试验证与产业化应用。
(金小越 文/图)
 
                 
                
